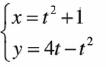
已知曲线L的方程(t≥0),过点(一1,0)引L的切线,求此切线与L(对应于x≤x0的部分)及x轴所围成的平面图形的面积为()。A. 1/2 B. 2 ...

作者: tihaiku 人气: - 评论: 0
问题 已知曲线L的方程(t≥0),过点(一1,0)引L的切线,求此切线与L(对应于x≤x0的部分)及x轴所围成的平面图形的面积为()。
选项 A. 1/2 B. 2 C. 7/3 D. 3/7
答案 D
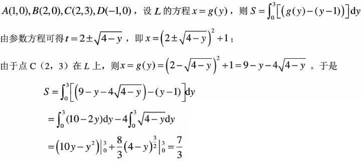
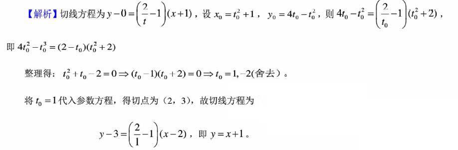
解析 由题设可知,所求平面图形如下图所示,其中各点坐标为

相关内容:曲线,方程,过点,切线,求此,应于,部分,轴所,平面图,面积

猜你喜欢

发表评论
更多 网友评论0 条评论)
暂无评论

访问排行

Copyright © 2012-2014 恰考网 Inc. 保留所有权利。 Powered by tikuer.com

页面耗时0.0383秒, 内存占用1.05 MB, Cache:redis,访问数据库19次