两容器内分别盛有氢气和氦气,若它们的温度和质量分别相等,则()。A.两种气体分子的平均平动动能相等 B.两种气体分子的平均动能相等 C.两种气体分子的...

作者: tihaiku 人气: - 评论: 0
问题 两容器内分别盛有氢气和氦气,若它们的温度和质量分别相等,则()。
选项 A.两种气体分子的平均平动动能相等 B.两种气体分子的平均动能相等 C.两种气体分子的平均速率相等 D.两种气体分子的内能相等
答案 A
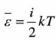
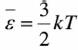
解析 两种理想气体的温度相等,分子的平均平动动能:只与绝对温度成正比,与分子的种类无关,所以相等;分子的平均动能:,其中i为分子的自由度,分子的自由度不同,所以平均动能不相等,理想气体的内能为,其中i为分子的自由度,分子的自由度和压强不同,所以内能也不相等。

相关内容:容器,氦气,温度,质量,气体,分子,平动,动能

猜你喜欢

发表评论
更多 网友评论0 条评论)
暂无评论

访问排行

Copyright © 2012-2014 恰考网 Inc. 保留所有权利。 Powered by tikuer.com

页面耗时0.0437秒, 内存占用1.05 MB, Cache:redis,访问数据库19次