一束波长为λ的平行单色光垂直入射到一单缝AB上,装置如图所示,在屏幕D上形成衍射图样,如果P是中央亮纹一侧第一个暗纹所在的位置,则的长度为()。

作者: tihaiku 人气: - 评论: 0
问题 一束波长为λ的平行单色光垂直入射到一单缝AB上,装置如图所示,在屏幕D上形成衍射图样,如果P是中央亮纹一侧第一个暗纹所在的位置,则的长度为()。
选项
答案 B
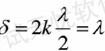
解析 夫琅禾费单缝衍射实验中,BC为半波长的偶数倍,所有波带的作用成对地互相抵消,则P点是暗点;若BC为半波长的奇数倍,即单缝处波阵面可分为奇数个半波带时,相互抵消的结果,只留下一个半波带的作用,则P点为亮点。根据题意可得

相关内容:平行,单色光,一单,装置,如图,屏幕,图样,中央,亮纹,一侧,暗纹所,位置,长度

猜你喜欢

发表评论
更多 网友评论0 条评论)
暂无评论

访问排行

Copyright © 2012-2014 恰考网 Inc. 保留所有权利。 Powered by tikuer.com

页面耗时0.0713秒, 内存占用1.04 MB, Cache:redis,访问数据库18次