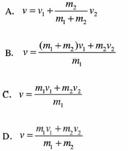
如图所示质量为m1的小车以速度V1在水平路面上缓慢行驶,若在小车上将一质量为m2的货物以相对于小车的速度V2水平抛出,不计地面阻力,则此时小车速度V的大小...

作者: tihaiku 人气: - 评论: 0
问题 如图所示质量为m1的小车以速度V1在水平路面上缓慢行驶,若在小车上将一质量为m2的货物以相对于小车的速度V2水平抛出,不计地面阻力,则此时小车速度V的大小为()。
选项
答案 A
解析

相关内容:如图,质量,小车,速度,水平路,面上,上将,货物,水平,地面,阻力,大小

猜你喜欢

发表评论
更多 网友评论0 条评论)
暂无评论

访问排行

Copyright © 2012-2014 恰考网 Inc. 保留所有权利。 Powered by tikuer.com

页面耗时0.0444秒, 内存占用1.05 MB, Cache:redis,访问数据库20次