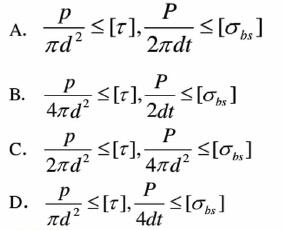
如图所示为一个用四个相同铆钉连接的接头,已知拉杆与铆钉的材料相同。材料的许用剪应力为[τl,许用挤压应力为[σbs],则其剪切强度条件和挤压强度条件是()...

作者: tihaiku 人气: - 评论: 0
问题 如图所示为一个用四个相同铆钉连接的接头,已知拉杆与铆钉的材料相同。材料的许用剪应力为[τl,许用挤压应力为[σbs],则其剪切强度条件和挤压强度条件是()。
选项
答案 D
解析

相关内容:如图,铆钉,接头,拉杆,材料,许用,挤压,应力,剪切,强度,条件

猜你喜欢

发表评论
更多 网友评论0 条评论)
暂无评论

访问排行

Copyright © 2012-2014 恰考网 Inc. 保留所有权利。 Powered by tikuer.com

页面耗时0.0401秒, 内存占用1.05 MB, Cache:redis,访问数据库18次