在无压圆管均匀流中,其他条件保持不变,则( )。A.流量随设计充满度增大而增大 B.流速随设计充满度增大而增大 C.流量随水力坡度增大而增大 D.三...

作者: tihaiku 人气: - 评论: 0
问题 在无压圆管均匀流中,其他条件保持不变,则( )。
选项 A.流量随设计充满度增大而增大 B.流速随设计充满度增大而增大 C.流量随水力坡度增大而增大 D.三种说法都对
答案 C
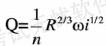
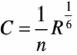
解析 满管时流量、流速都不是最大,无压圆管均匀流中,由谢才公式和曼宁公式可得出流量的计算式为:,可知:其他条件保持不变,流量随水力坡度增大而增大。

相关内容:无压,圆管,流中,条件,流量,设计,度增,流速,水力,坡度

猜你喜欢

发表评论
更多 网友评论0 条评论)
暂无评论

访问排行

Copyright © 2012-2014 恰考网 Inc. 保留所有权利。 Powered by tikuer.com

页面耗时0.0698秒, 内存占用1.05 MB, Cache:redis,访问数据库19次