设X-N(0,1),则P{XA.1/2 B.1/3 C.1/4 D.1/5

作者: tihaiku 人气: - 评论: 0
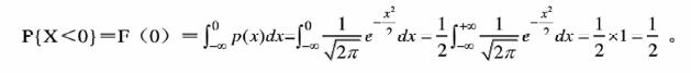
问题 设X-N(0,1),则P{X
选项 A.1/2 B.1/3 C.1/4 D.1/5
答案 A
解析 X服从标准正态分布,其图像关于y轴对称,故P{X

相关内容:

猜你喜欢

发表评论
更多 网友评论0 条评论)
暂无评论

访问排行

Copyright © 2012-2014 恰考网 Inc. 保留所有权利。 Powered by tikuer.com

页面耗时0.0359秒, 内存占用1.04 MB, Cache:redis,访问数据库19次