若盛有某种理想气体的容器漏气,使气体的压强和分子数密度各减少一半,则气体的内能和气体分子的平均动能的变化为()。A.气体的内能和气体分子的平均动能均不变 ...

作者: tihaiku 人气: - 评论: 0
问题 若盛有某种理想气体的容器漏气,使气体的压强和分子数密度各减少一半,则气体的内能和气体分子的平均动能的变化为()。
选项 A.气体的内能和气体分子的平均动能均不变 B.气体的内能和气体分子的平均动能均减小 C.气体的内能不变,气体分子的平均动能减小 D.气体的内能减小,气体分子的平均动能不变
答案 D
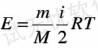
解析 根据公式p=nkT,当气体的压强和分子数密度各减少一半时,温度T不变,则分子的平均动能 ε=(i/2)kT不变;根据理想气体内能公式容器漏气则m减小,所以E减小。

相关内容:若盛,理想,气体,容器,压强,分子,密度,各减,内能,动能

猜你喜欢

发表评论
更多 网友评论0 条评论)
暂无评论

访问排行

Copyright © 2012-2014 恰考网 Inc. 保留所有权利。 Powered by tikuer.com

页面耗时0.0626秒, 内存占用1.04 MB, Cache:redis,访问数据库13次