下列水溶液pH值为3.02的是( )。A. 0.010mol?1-1HAc(Kd=1.76×10-5) B. 0.0010mol?1-1NaOH C....

作者: tihaiku 人气: - 评论: 0
问题 下列水溶液pH值为3.02的是( )。
选项 A. 0.010mol?1-1HAc(Kd=1.76×10-5) B. 0.0010mol?1-1NaOH C. 0.050mol?l-1HAc D. 0.1mol?1-1NH3?H2O
答案 C
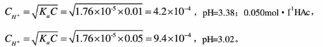
解析 B、D为碱性溶液,pH值大于7。HAc为一元弱酸,0.010mol·l-1HAc中

相关内容:水溶液,值为,的是,0.010mol,1-1HAc,0.0010mol,1-1NaOH

猜你喜欢

发表评论
更多 网友评论0 条评论)
暂无评论

访问排行

Copyright © 2012-2014 恰考网 Inc. 保留所有权利。 Powered by tikuer.com

页面耗时0.0366秒, 内存占用1.05 MB, Cache:redis,访问数据库18次