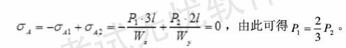
如图所示,直杆承受P1和P2的作用,若使A点处正应力σA为零,则P1与P2的关系为()。

作者: tihaiku 人气: - 评论: 0
问题 如图所示,直杆承受P1和P2的作用,若使A点处正应力σA为零,则P1与P2的关系为()。
选项
答案 B
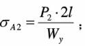
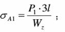
解析 A点所在截面为正方形截面,因此wy=wz。集中力P1作用使得A点受压,压应力大小为集中力P2作用使得A点受拉,拉应力大小为根据题意可知A点正应力为零,即

相关内容:如图,直杆,承受,作用,点处,应力,关系

猜你喜欢

发表评论
更多 网友评论0 条评论)
暂无评论

访问排行

Copyright © 2012-2014 恰考网 Inc. 保留所有权利。 Powered by tikuer.com

页面耗时0.0407秒, 内存占用1.04 MB, Cache:redis,访问数据库20次