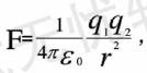
若一点电荷对放在相距2cm处的另一点电荷的静电作用为F,当两点电荷之间的距离增加到6cm时静力作用为()。

作者: tihaiku 人气: - 评论: 0
问题 若一点电荷对放在相距2cm处的另一点电荷的静电作用为F,当两点电荷之间的距离增加到6cm时静力作用为()。
选项
答案 A
解析 根据库仑定理,两点电荷的静电作用力与两点电荷之间距离的平方成反比,所以当距离增加3倍时,静电作用力为原来的1/9。

相关内容:点电荷,静电,距离,时静,力作

猜你喜欢

发表评论
更多 网友评论0 条评论)
暂无评论

访问排行

Copyright © 2012-2014 恰考网 Inc. 保留所有权利。 Powered by tikuer.com

页面耗时0.0717秒, 内存占用1.05 MB, Cache:redis,访问数据库19次