电路如图所示,已知:R1=6Ω,R2=R3=3Ω,R4=2Ω,R5=8Ω,R6=10Ω,Us=18V,Is=3A,则A、B两点间的电压UAB是()V。 ...

作者: tihaiku 人气: - 评论: 0
问题 电路如图所示,已知:R1=6Ω,R2=R3=3Ω,R4=2Ω,R5=8Ω,R6=10Ω,Us=18V,Is=3A,则A、B两点间的电压UAB是()V。
选项 A. 30.6 B. 3.6 C. -27 D. -30.6
答案 A
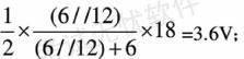
解析 根据叠加原理,当电压源单独作用时,将电流源断路,纯电阻网络中利用分压原理可得到AB两点的电压为当电流源单独作用时,将电压源短路,电压源相当于短路,此时AB两点电压为27V;所以UAB=3.6+27=30.6V。

相关内容:电路,如图,电压

猜你喜欢

发表评论
更多 网友评论0 条评论)
暂无评论

访问排行

Copyright © 2012-2014 恰考网 Inc. 保留所有权利。 Powered by tikuer.com

页面耗时0.0364秒, 内存占用1.05 MB, Cache:redis,访问数据库18次