—座远离发电厂与无穷大电源连接的变电站,其电气主接线如下图所示: 变电站位于海拔2000m处,变电站设有两台31500kVA(有1.3倍过负荷能力...

作者: tihaiku 人气: - 评论: 0
问题 —座远离发电厂与无穷大电源连接的变电站,其电气主接线如下图所示: 变电站位于海拔2000m处,变电站设有两台31500kVA(有1.3倍过负荷能力),110/10kV主变压器,正常运行时电源3与电源1在110kV 1号母线并网运行,110kV、10kV母线分裂运行。当一段母线失去电源时,分段断路器投入运行,电源3向d1点提供的最大三相短路电流为4kA,电源1向d2点提供的最大三相短路电流为3kA,电源2向d3点提供的最大三相短路电流为5k
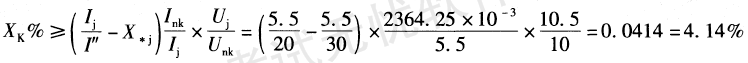
选项 A。 110kV电源线路主保护均为光纤纵差保护,保护动作时间为0s,架空线路1和电缆线路1两侧的后备保护均为方向过电流保护,方向指向线路的动作时间为2s,方向指向110kV母线的动作时间为2.5s,主变配置的差动保护动作时间为0.1s,1110kV侧过流保护动作对间为1.5s。110kV断路器全分闸时间为50ms。 若采用主变10kV侧串联电抗器的方式,将该变电所的10kV母线最大三相短路电流从30kA降到20kA,请计算电抗器的额定电流和电抗百分数应为下列哪组数值?() (A)1732.1A,3.07% (B)1818.7A,3.18% (C)2251.7A,3.95% (D)2364.3A,4.14%
答案 D
解析 解答过程: 《导体和电器选择设计技术规定》(DL/T5222—2005)第14.2.1条、第14.1.1条及条文说明。 第14.2.1条:普通限流电抗器的额定电流,主变压器或馈线回路按最大可能工作电流考虑。考虑变压器1.3倍过负荷能力,则 第14.1.1条及条文说明之公式(1):

相关内容:发电厂,无穷大,电源,变电站,电气,接线,下图,海拔,31500kVA,1.3倍,负荷,能力

猜你喜欢

发表评论
更多 网友评论0 条评论)
暂无评论

访问排行

Copyright © 2012-2014 恰考网 Inc. 保留所有权利。 Powered by tikuer.com

页面耗时0.0695秒, 内存占用1.05 MB, Cache:redis,访问数据库18次