某电力工程中的220kV配电装置有3回架空出线,其中两回同塔架设,釆用无间隙金属氧化物避雷器作为雷电过电压保护,其雷电冲击全波耐受电压为850kV。土壤电...

作者: tihaiku 人气: - 评论: 0
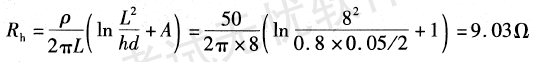
问题 某电力工程中的220kV配电装置有3回架空出线,其中两回同塔架设,釆用无间隙金属氧化物避雷器作为雷电过电压保护,其雷电冲击全波耐受电压为850kV。土壤电阻率为50Ω·m。为防直击雷装设了独立避雷针,避雷针的工频 冲击接地电阻为10Ω,请根据上述条件回答下列各题(计算保留两位小数)。 若独立避雷针接地装置的水平接地极形状为?形,总长度8m,埋设深度0.8m,采用50mmx5mm扁钢,计算其接地电阻应为下列哪项数值?() (A)6.05Ω (B)6.74Ω (C)8.34Ω (D)9.03Ω
选项
答案 D
解析 解答过程: 《交流电气装置的接地设计规范》(GB/T50065—2011)附录A第A.0.2条。

相关内容:电力工程,装置,架空,出线,同塔,釆用,间隙,金属,氧化物,避雷器,雷电,过电压,保护,冲击,全波,电压,土壤

猜你喜欢

发表评论
更多 网友评论0 条评论)
暂无评论

访问排行

Copyright © 2012-2014 恰考网 Inc. 保留所有权利。 Powered by tikuer.com

页面耗时0.0286秒, 内存占用1.04 MB, Cache:redis,访问数据库19次