某风电场地处海拔1000m以下,升压站的220kV主接线采用单母线接线,两台主变压器容量均为80MVA,主变压器短路阻抗13%,220kV配电装置采用屋外...

作者: tihaiku 人气: - 评论: 0
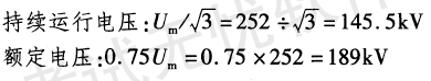
问题 某风电场地处海拔1000m以下,升压站的220kV主接线采用单母线接线,两台主变压器容量均为80MVA,主变压器短路阻抗13%,220kV配电装置采用屋外敞开式布置,其电气主接线简图如下: 若风电场的220kV配电装置改用GIS,其出现套管与架空线路的连接处,设置一组金属氧化物避雷器,计算该组避雷器的持续运行电压和额定电压应为下列哪项数值?() (A)145.5kV,189kV (B)127kV,165kV (C)139.7kV,181.5kV (D)113.4kV,143.6kV
选项
答案 A
解析 解答过程: 《交流电气装置的过电压保护和绝缘配合》(DL/T620—1997)第5.3.4条及表3。

相关内容:某风,电场,海拔,接线,单母线,母线,变压器,容量,短路,阻抗,装置,屋外

猜你喜欢

发表评论
更多 网友评论0 条评论)
暂无评论

访问排行

Copyright © 2012-2014 恰考网 Inc. 保留所有权利。 Powered by tikuer.com

页面耗时0.0357秒, 内存占用1.04 MB, Cache:redis,访问数据库19次