某220kV变电站位于Ⅲ级污秽区,海拔高度600m,220kV 2回电源进线,2回负荷出线,每回出线各带负荷120MVA,采用单母线分段接线,2台电压等级...

作者: tihaiku 人气: - 评论: 0
问题 某220kV变电站位于Ⅲ级污秽区,海拔高度600m,220kV 2回电源进线,2回负荷出线,每回出线各带负荷120MVA,采用单母线分段接线,2台电压等级为220/110/10kV,容量为240MVA主变,负载率为65%,母线采用管形铝镁合金,户外布置。220kV电源进线配置了变比为2000/5A电流互感器,其主保护动作时间为0.1s,后备保护动作时间为2s,断路器全分闸时间为40ms,最大运行方式时,220kV母线三相短路电流为30kA,站用变压器容量为2台400kV
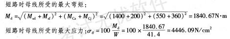
选项 A。请回答下列问题。 假设该站220kV管母线截面系数为41.4cm2,自重产生的垂直弯矩为550N·m,集中荷载产生的最大弯矩为360N·m,短路电动力产生的弯矩为1400N·m,内过电压风速产生的水平弯矩为200N·m,请计算220kV母线短路时,管母线所承受的应力应为下列哪项数值? () (A)1841N/cm2 (B)4447N/cm2 (C)4621N/cm2 (D)5447N/cm2
答案 B
解析 《电力工程电气设计手册》(电气-次部分)P344式(8-41)和式(8-42)。 注:管形母线考查频率较多,特别是弯矩、应力、挠度及微风振动等问题,本小节请重点关注。

相关内容:变电站,污秽区,海拔,高度,电源,负荷,出线,每回,各带,120MVA,单母线,母线,分段,接线,电压,等级

猜你喜欢

发表评论
更多 网友评论0 条评论)
暂无评论

访问排行

Copyright © 2012-2014 恰考网 Inc. 保留所有权利。 Powered by tikuer.com

页面耗时0.0406秒, 内存占用1.05 MB, Cache:redis,访问数据库20次