某220kV变电站位于Ⅲ级污秽区,海拔高度600m,220kV 2回电源进线,2回负荷出线,每回出线各带负荷120MVA,采用单母线分段接线,2台电压等级...

作者: tihaiku 人气: - 评论: 0
问题 某220kV变电站位于Ⅲ级污秽区,海拔高度600m,220kV 2回电源进线,2回负荷出线,每回出线各带负荷120MVA,采用单母线分段接线,2台电压等级为220/110/10kV,容量为240MVA主变,负载率为65%,母线采用管形铝镁合金,户外布置。220kV电源进线配置了变比为2000/5A电流互感器,其主保护动作时间为0.1s,后备保护动作时间为2s,断路器全分闸时间为40ms,最大运行方式时,220kV母线三相短路电流为30kA,站用变压器容量为2台400kV
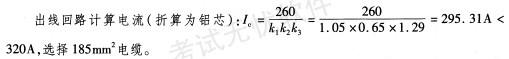
选项 A。请回答下列问题。 若该变电站低压侧出线采用10kV三芯交联聚乙烯铠装电缆(铜芯),出线回路额定电流为260A,电缆敷设在户内梯架上,每层8根电缆无间隙2层叠放,电缆导体最高工作温度为90℃,户外环境温度为35℃,请计算选择电缆的最小截面应为下列哪项数值? () (A)95mm2 (B)150mm2 (C)185mm2 (D)300mm2
答案 C
解析 《电力工程电缆设计规范》(GB50217—2007)附录D。 根据表D.O.1,温度校正系数k1=1.05;根据表D.0.6,敷设方式校正系数k2=0.65;铝芯与铜芯电缆校正系数k3=1.29。 注:本题隐藏了铜铝载流量的折算要求,考试时,很多考生在此处丢分,很可惜。

相关内容:变电站,污秽区,海拔,高度,电源,负荷,出线,每回,各带,120MVA,单母线,母线,分段,接线,电压,等级

猜你喜欢

发表评论
更多 网友评论0 条评论)
暂无评论

访问排行

Copyright © 2012-2014 恰考网 Inc. 保留所有权利。 Powered by tikuer.com

页面耗时0.0392秒, 内存占用1.05 MB, Cache:redis,访问数据库19次