某600MW汽轮发电机组,其电气接线如图所示。 发电机额定电压为UN=20kV,最高运行电压1.05UN,已知当发电机出口发生短路时,发电机至短路...

作者: tihaiku 人气: - 评论: 0
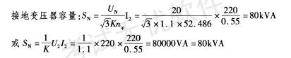
问题 某600MW汽轮发电机组,其电气接线如图所示。 发电机额定电压为UN=20kV,最高运行电压1.05UN,已知当发电机出口发生短路时,发电机至短路点的最大故幛电流为114kA,系统至短路点的最大故障电流为102kA,发电机系统单相对地电容电流为6A,釆用发电机中性点经单相变压器二次侧电阻接地的方式,其二次侧电压为220V,根据上述已知条件,回答下列问题。 假设发电机中性点接地电阻为0.55Ω,接地变压器的过负荷系数为1.1,选择发电机中性点接地变压器,计算其变压器容量应为下列何值? () (A)80kVA (B)76.52kVA (C)50kV
选项 A (D)40kVA
答案 A
解析 《导体和电器选择设计技术规定》(DL/T 5222—2005)第18.3.4条式(18.3.4-2)。

相关内容:汽轮,发电机组,电气,接线,如图,发电机,电压,运行,1.05UN,出口,短路

猜你喜欢

发表评论
更多 网友评论0 条评论)
暂无评论

访问排行

Copyright © 2012-2014 恰考网 Inc. 保留所有权利。 Powered by tikuer.com

页面耗时0.0332秒, 内存占用1.04 MB, Cache:redis,访问数据库17次