某600MW汽轮发电机组,其电气接线如图所示。 发电机额定电压为UN=20kV,最高运行电压1.05UN,已知当发电机出口发生短路时,发电机至短路...

作者: tihaiku 人气: - 评论: 0
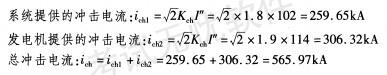
问题 某600MW汽轮发电机组,其电气接线如图所示。 发电机额定电压为UN=20kV,最高运行电压1.05UN,已知当发电机出口发生短路时,发电机至短路点的最大故幛电流为114kA,系统至短路点的最大故障电流为102kA,发电机系统单相对地电容电流为6A,釆用发电机中性点经单相变压器二次侧电阻接地的方式,其二次侧电压为220V,根据上述已知条件,回答下列问题。 计算上图中厂用变分支离相封闭母线应能承受的最小动稳定电流为下列何值? () (A)410.40kA (B)549.85kA (C)565.12k
选项 A (D)580.39kA
答案 C
解析 《电力工程电气设计手册》(电气一次部分)P140式(4-32)及表4-15。 厂用分支离相分支母线的最小动稳定电流即发电机端出口处的短路冲击电流:

相关内容:汽轮,发电机组,电气,接线,如图,发电机,电压,运行,1.05UN,出口,短路

猜你喜欢

发表评论
更多 网友评论0 条评论)
暂无评论

访问排行

Copyright © 2012-2014 恰考网 Inc. 保留所有权利。 Powered by tikuer.com

页面耗时0.0640秒, 内存占用1.04 MB, Cache:redis,访问数据库19次