某单回路500kV架空送电线路,位于海拔500m以下的平原地区,大地电阻率平均为200Ω·m,线路全长155km,三相导线a、b、c为倒正三角排列,线间距...

作者: tihaiku 人气: - 评论: 0
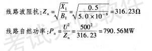
问题 某单回路500kV架空送电线路,位于海拔500m以下的平原地区,大地电阻率平均为200Ω·m,线路全长155km,三相导线a、b、c为倒正三角排列,线间距离为7m,导线采用6分裂LGJ-500/35钢芯铝绞线,各子导线按正六边形布置,子导线直径为30mm,分裂间距为400mm,子导线的铝截面为497.01mm2,综合截面为531.37mm2。 假设线路的正序电抗为0.50Ω/km,正序电纳为5.0x10-6 s/km,计算线路的自然功率Pn应为下列哪项数值? () (A)956.7MW (B)790.6MW (C)1321.3MW (D)1045.8MW
选项
答案 B
解析 《电力工程高压送电线路设计手册》(第二版)P24式(2-1-41)、式(2-1-42)。

相关内容:某单,回路,架空,线路,海拔,大地,电阻率,全长,导线,倒正,三角,间距

猜你喜欢

发表评论
更多 网友评论0 条评论)
暂无评论

访问排行

Copyright © 2012-2014 恰考网 Inc. 保留所有权利。 Powered by tikuer.com

页面耗时0.0410秒, 内存占用1.04 MB, Cache:redis,访问数据库19次