某发电厂直流系统接线如图所示。 已知条件如下: 1)铅酸免维护蓄电池组:1500Ah、220V、104个蓄电池(含连接条的总内阻为9.67mΩ,单...

作者: tihaiku 人气: - 评论: 0
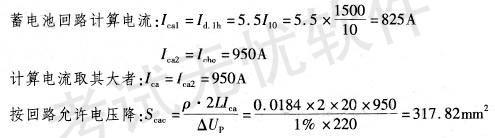
问题 某发电厂直流系统接线如图所示。 已知条件如下: 1)铅酸免维护蓄电池组:1500Ah、220V、104个蓄电池(含连接条的总内阻为9.67mΩ,单个蓄电池开路电压为2.22V); 2)直流系统事故初期(1min)冲击放电电流Icho=950A; 3)直流断路器系列为4A、6A、10A、16A、20A、25A、32A、40A、50A、63A、80A、100A、125A、160A、180A、200A、225A、250A、315A、350A、400A、500A、600A、700A、800A、900A、1000A、1250
选项 A、1400A; 4)I母线上最大馈线断路器额定电流为200A,II母线上馈线断路器额定电流见图; 5)铜电阻系数ρ=0.0184Ω.mm2/m;S1内阻忽略不计。 请根据上述条件计算下列各题(保留两位小数)。 按回路压降计算选择L1电缆截面应为下列哪项数值?() (A)138.00mm2 (B)158.91mm2 (C)276.00mm2 (D)317.82mm2
答案 D
解析 《电力工程直流系统设计技术规程》(DL/T5044-2004)附录D表D.1、表D.2和附录E第E.3.6条。

相关内容:发电厂,系统,接线,如图,条件,如下,铅酸,电池组,1500Ah,104个,蓄电池,内阻

猜你喜欢

发表评论
更多 网友评论0 条评论)
暂无评论

访问排行

Copyright © 2012-2014 恰考网 Inc. 保留所有权利。 Powered by tikuer.com

页面耗时0.0367秒, 内存占用1.05 MB, Cache:redis,访问数据库20次