某发电厂装有两台300MW机组,经主变升压至220kV接入系统。220kV屋外配电装置母线釆用支持式管形母线,为双母线接线分相中型布置,母线釆用Φ120/...

作者: tihaiku 人气: - 评论: 0
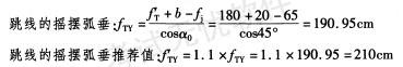
问题 某发电厂装有两台300MW机组,经主变升压至220kV接入系统。220kV屋外配电装置母线釆用支持式管形母线,为双母线接线分相中型布置,母线釆用Φ120/110铝锰合金管,母联间隔跨线釆用架空软导线。 母联间隔有一跨线跳线,请计算跳线的最大摇摆弧垂的推荐值是下列哪一项?(导线悬挂点至梁底b为20cm,最大风偏时,耐张夹至绝缘子串悬挂点的垂直距离f为65cm,最大风偏时的跳线与垂直线之间夹角为45°,跳线在无风时的垂直弧垂F为180cm,见图。) () (A)135cm (B)148.5cm (C) 190.9cm (D)210cm
选项
答案 D
解析 《电力工程电气设计手册》(电气一次部分)P699?701“跳线弧垂的确定”相关公式。 注:跳线在无风时的弧垂要求不小于最小的电气距离A1值,此要求曾多次考查。

相关内容:发电厂,机组,主变,系统,屋外,装置,母线,釆用,接线

猜你喜欢

发表评论
更多 网友评论0 条评论)
暂无评论

访问排行

Copyright © 2012-2014 恰考网 Inc. 保留所有权利。 Powered by tikuer.com

页面耗时0.0478秒, 内存占用1.04 MB, Cache:redis,访问数据库17次