某发电厂装有两台300MW机组,经主变升压至220kV接入系统。220kV屋外配电装置母线釆用支持式管形母线,为双母线接线分相中型布置,母线釆用Φ120/...

作者: tihaiku 人气: - 评论: 0
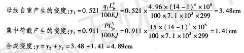
问题 某发电厂装有两台300MW机组,经主变升压至220kV接入系统。220kV屋外配电装置母线釆用支持式管形母线,为双母线接线分相中型布置,母线釆用Φ120/110铝锰合金管,母联间隔跨线釆用架空软导线。 母线支持绝缘子间距14m,支持金具长1m(—侧),母线自重4.96kg/m,母线上的隔离开关静触头重15kg,请计算母线挠度是哪项值?(E=7.1x105kg/cm2,J=299cm4) () (A)2.75cm(B)3.16cm (C)3.63cm(D)4.89cm
选项
答案 D
解析 《电力工程电气设计手册》(电气一次部分)P347计算式例中“4)挠度的校验过程”。 注:此值小于0.5D=11cm,满足要求,但本题未要求进行挠度校验。

相关内容:发电厂,机组,主变,系统,屋外,装置,母线,釆用,接线

猜你喜欢

发表评论
更多 网友评论0 条评论)
暂无评论

访问排行

Copyright © 2012-2014 恰考网 Inc. 保留所有权利。 Powered by tikuer.com

页面耗时0.0430秒, 内存占用1.04 MB, Cache:redis,访问数据库17次