某风电场升压站的110kV主接线釆用变压器线路组接线,一台主变压器容量为100MVA,主变压器短路阻抗10.5%,110kV配电装置釆用屋外敞开式,升压站...

作者: tihaiku 人气: - 评论: 0
问题 某风电场升压站的110kV主接线釆用变压器线路组接线,一台主变压器容量为100MVA,主变压器短路阻抗10.5%,110kV配电装置釆用屋外敞开式,升压站地处1000m以下,站区属多雷区。 假设该站属Ⅱ级污染区,请计算变压器门型构架上的绝缘子串应为多少片(悬式绝缘子为XWP-7型,单片泄漏距离40cm)? () (A)7片 (B)8片 (C)9片 (D)10片
选项
答案 C
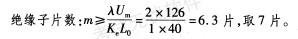
解析 《导体和电器选择设计技术规定》(DL/T5222—2005)第21.0.9条式(13)以及附录C表C.2。 根据附录C、表C.2可知,变电站的爬电比距:λ=2.0cm/kV 悬式绝缘子应考虑绝缘子的老化,110kV每串绝缘子要预留零值绝缘,对应耐张片为2片,取7+2=9片。 注:题干中有效系数Ke未提及,一般取1,可参考《交流电气装置的过电压保护和绝缘配合》(DL/T620—1997)第10.2.1条,另外,由于本题为变电站绝缘子计算,应考虑零值绝缘子。最高电压值可参考《标准电压》(GB/T156—2007)第4.5条。

相关内容:某风,电场,接线,釆用,变压器,线路,容量,100MVA,短路,阻抗,装置,屋外

猜你喜欢

发表评论
更多 网友评论0 条评论)
暂无评论

访问排行

Copyright © 2012-2014 恰考网 Inc. 保留所有权利。 Powered by tikuer.com

页面耗时0.0498秒, 内存占用1.05 MB, Cache:redis,访问数据库20次