某110/10kV变电所,两台主变,两回110kV电源进线。110kV主接线为内桥接线,10kV为单母线分段接线(分列运行),电气主接线见图。110kV桥...

作者: tihaiku 人气: - 评论: 0
问题 某110/10kV变电所,两台主变,两回110kV电源进线。110kV主接线为内桥接线,10kV为单母线分段接线(分列运行),电气主接线见图。110kV桥开关和10kV分段开关均装设备用电源自动投入装置。系统1和系统2均为无穷大系统。架空线路1长70km,架空线路2长30km。该变电所主变压器负载率不超过60%,系统基准容量为100MV
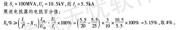
选项 A。请回答下列问题。 如主变压器10kV回路串联3000A电抗器限制短路电流,若需将10kV母线短路电流从25kA限制到20kA以下,请计算并选择该电抗器的电抗百分值为下列哪项?() (A)3% (B)4% (C)6% (D)8%
答案 B
解析 《电力工程电气设计手册》(电气一次部分)P253式(6-14)。 注:建议手册中基准电流和电抗器额定电流的单位设置为kA,便于思考与计算。

相关内容:变电所,主变,电源,接线,内桥,单母线,母线,分段,运行,电气

猜你喜欢

发表评论
更多 网友评论0 条评论)
暂无评论

访问排行

Copyright © 2012-2014 恰考网 Inc. 保留所有权利。 Powered by tikuer.com

页面耗时0.0409秒, 内存占用1.04 MB, Cache:redis,访问数据库20次