某2X300MW火力发电厂,每台机组装设3组蓄电池,其中2组110V蓄电池对控制负荷供电,另1组220V蓄电池对动力负荷供电。两台机组的220V直流系统间...

作者: tihaiku 人气: - 评论: 0
问题 某2X300MW火力发电厂,每台机组装设3组蓄电池,其中2组110V蓄电池对控制负荷供电,另1组220V蓄电池对动力负荷供电。两台机组的220V直流系统间设有联络线。蓄电池选用阀控式密封铅酸蓄电池(贫液)(单体2V),浮充电压取2.23V,均衡充电电压取2.3V。110V系统蓄电池组选为52只,220V系统蓄电池组选为103只。现已知每台机组的直流负荷如下: UPS 120kVA 电气控制、保护电源 15kW 热控控制经常负荷 15kW 热控控制事故初期冲击负荷 5kW 热控动力总电源 20kW(负荷系数取0.6) 直流长明灯 3kW 汽机氢侧直流备用泵(起动电流倍数按2计) 4kW 汽机空侧直流备用泵(起动电流倍数按2计) 10kW 汽机直流事故润滑油泵(起动电流倍数按2计) 22kW 6kV厂用低电压跳闸 40kW 400V低电压跳闸 40kW 厂用电源恢复时高压厂用断路器合闸 3kW 励磁控制 1kW 变压器冷却器控制电源 1kW 请根据上述条件计算下列各题(保留两位小数)。 如该电厂220V蓄电池选用1600Ah,蓄电池出口与直流配电柜连接的电缆兵度为25m,求该电缆的截面应为下列哪项数值?(已知:铜电阻系数p=0.0184(Ω.mm2/m) (A)141.61mm2 (B)184mm2 (C)283.23mm2 (D)368mm2
选项
答案 D
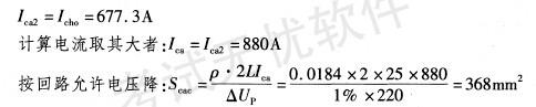
解析 《电力工程直流系统设计技术规程》(DL/T5044-2004)附录D表D.1、表D.2和附录E第E.3.6条。 注:Ieho为事故初期(1min)冲击放电电流,需参考18小题计算结果。

相关内容:2X300MW,火力发电厂,每台,机组,蓄电池,控制,负荷,供电,动力,系统

猜你喜欢

发表评论
更多 网友评论0 条评论)
暂无评论

访问排行

Copyright © 2012-2014 恰考网 Inc. 保留所有权利。 Powered by tikuer.com

页面耗时0.0531秒, 内存占用1.05 MB, Cache:redis,访问数据库18次