500kV单回路架空送电线路,4分裂相导线,导线分裂间距450mm,三相导线水平排列,间距12m,导线直径为26.82mm。 导线的表面系数取0....

作者: tihaiku 人气: - 评论: 0
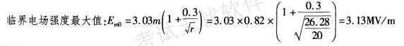
问题 500kV单回路架空送电线路,4分裂相导线,导线分裂间距450mm,三相导线水平排列,间距12m,导线直径为26.82mm。 导线的表面系数取0.82,计算导线的临界起始电晕电位梯度最接近下列何值?(不计海拔高度的影响)() (A)3.13MV/m (B)3.81MV/m (C)2.94MV/m (D)3.55MV/m
选项
答案 A
解析 《电力工程高压送电线路设计手册》(第二版)P30式(2-2-2)皮克公式。 注:公式中导线半径的单位为cm。

相关内容:单回路,回路,架空,线路,导线,间距,水平,直径,26.82mm,表面,系数

猜你喜欢

发表评论
更多 网友评论0 条评论)
暂无评论

访问排行

Copyright © 2012-2014 恰考网 Inc. 保留所有权利。 Powered by tikuer.com

页面耗时0.0350秒, 内存占用1.05 MB, Cache:redis,访问数据库19次