500kV单回路架空送电线路,4分裂相导线,导线分裂间距450mm,三相导线水平排列,间距12m,导线直径为26.82mm。 线路的正序电抗为0....

作者: tihaiku 人气: - 评论: 0
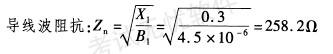
问题 500kV单回路架空送电线路,4分裂相导线,导线分裂间距450mm,三相导线水平排列,间距12m,导线直径为26.82mm。 线路的正序电抗为0.3Ω/km,正序电纳为4.5x10-6s/km,请计算线路的波阻抗最接近下列哪项数值? (A)258.2Ω (C)66.7Ω (B)387.7Ω (D)377.8Ω
选项
答案 A
解析 《电力工程高压送电线路设计手册》(第二版)P24式(2-1-41)。

相关内容:单回路,回路,架空,线路,导线,间距,水平,直径,26.82mm,正序,电抗

猜你喜欢

发表评论
更多 网友评论0 条评论)
暂无评论

访问排行

Copyright © 2012-2014 恰考网 Inc. 保留所有权利。 Powered by tikuer.com

页面耗时0.0752秒, 内存占用1.05 MB, Cache:redis,访问数据库19次