某变电所电压等级为220/110/10kV,2台主变压器容量为180MVA。220kV、110kV系统为有效接地方式,10kV系统为消弧线圈接地方式。22...

作者: tihaiku 人气: - 评论: 0
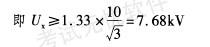
问题 某变电所电压等级为220/110/10kV,2台主变压器容量为180MVA。220kV、110kV系统为有效接地方式,10kV系统为消弧线圈接地方式。220kV、110kV设备为户外布置,母线均采用圆形铝管母线形式,10kV设备为户内开关柜,10kV所用变压器采用2台400kVA油浸式变压器,布置于户外,请回答下列问题。 该变电所从10kV开关柜到所有变压器之间采用电缆连接,单相接地故障按2h考虑,请计算该电缆导体与绝缘屏蔽之间额定电压最小不应低于下列哪项数值?
选项 A.5.77kV B.7.68kV C.10kV D.13.3kV
答案 B
解析 《电力工程电缆设计规范》(GB50217—2007)第3.3.2条。 第3.3.2-2条:除上述“(1)供电系统”外,其他系统不宜低于133%使用回路的工作相电压。

相关内容:变电所,电压,等级,变压器,容量,180MVA,系统,接地,方式,消弧,线圈

猜你喜欢

发表评论
更多 网友评论0 条评论)
暂无评论

访问排行

Copyright © 2012-2014 恰考网 Inc. 保留所有权利。 Powered by tikuer.com

页面耗时0.0435秒, 内存占用1.03 MB, Cache:redis,访问数据库15次