某新建330kV变电站位于海拔3600m的地区,主变压器2台,采用油浸变压器,装机容量为2×240MVA,所内330kV配电装置采用双母线接线,设2回出线...

作者: tihaiku 人气: - 评论: 0
问题 某新建330kV变电站位于海拔3600m的地区,主变压器2台,采用油浸变压器,装机容量为2×240MVA,所内330kV配电装置采用双母线接线,设2回出线。 本变电所330kV电气设备(包括主变压器)的额定雷电冲击耐受电压为1175kV,若在线路断路器的线路侧选择一种无间隙氧化锌避雷器,应选用下列哪种规格?
选项 A.Y10W-298/698 B.Y10W-300/698 C.Y10W-312/842 D.Y10W-312/868
答案 B
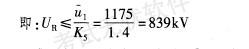
解析 《交流电气装置的过电压保护和绝缘配合》(DL/T620—1997)第4.1.1条、第5.3.4条,第10.4.4条。 1)第4.1.1条:对工频过电压应采取措施加以降低。……。系统的工频过电压水平一般不宜超过下列数值: 线路断路器的变电所侧:1.3p.u.。 线路断路器的线路侧:1.4p.u.。 按题意,避雷器安装在线路CB线路侧,则取1.4p.u.。 2)第5.3.4条及表3(注2):无间隙氧化物避雷器相地额定电压为0.8Um=0.8×363=290.4kV。 3)笫10.4.4条:变压器内、外绝缘的全波额定雷电冲击电压与变电所避雷器标称放电电流下的残压的配合系数取1.4。 4)《电力工程电气设计手册》(电气一次部分)P876、877“阀式避雷器参数选择”。330kV及以上避雷器的灭弧电压,应略高于安装地点的最大工频过电压: 避雷器的残压根据选定的设备绝缘全波雷电冲击耐压水平和规定绝缘配合系数确定: 因此,最后确定答案为选项B。 注:Y10W-300/698含义:Y表示氧化锌避雷器,10表示标称放电电压10kA,W表示无间瞭,300表示额定电压300kV,698表示标称放电电流下的最大残压698kV,另,最高电压值可参考《标准电压》(GB/T156—2007)第4.5条。

相关内容:变电站,海拔,地区,变压器,装机容量,240MVA,所内,装置,母线,接线,出线

猜你喜欢

发表评论
更多 网友评论0 条评论)
暂无评论

访问排行

Copyright © 2012-2014 恰考网 Inc. 保留所有权利。 Powered by tikuer.com

页面耗时0.0457秒, 内存占用1.04 MB, Cache:redis,访问数据库18次