某220kV变电所,原有2台120MVA主变压器,其电压为220/110/ 35kV,220kV为户外管母线中型布置,管母线规格为¢100/90;220k...

作者: tihaiku 人气: - 评论: 0
问题 某220kV变电所,原有2台120MVA主变压器,其电压为220/110/ 35kV,220kV为户外管母线中型布置,管母线规格为¢100/90;220kV、110kV为双母 线接线,35kV为单母线分段接线,根据负荷增长的要求,计划将现有2台主变压器更换为180MVA(远景按3X180MVA考虑)。 已知现有220k V 配电装置为铝镁系(LDRE) 管母线,在计及日照(环境温度3 5℃ ,海拔1000m 以下)条件下,若远景220k V 母线最大穿越功率为800MVA,请通过计算判断下列哪个正确? ( ) (A ) 现有母线长期允许载流量2234A ,不需要更换 (B) 现有母线长期允许载流量1944A ,需要更换 ( C ) 现有母线长期允许载流量1966A ,需要更换 (D) 现有母线长期允许载流量2360
选项 A ,不需要更换
答案 B
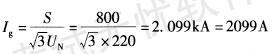
解析 最大母线电流应为本段母线自有变压器负荷与至其他段母线的穿越功率的持续运 行电流之和。 导线最大持续工作电流: LDRE管形母线规格令¢100/90,最高允许温度为80℃(室外型)的载流量 In =2234A;,校正系数K=0.87。 因此,导体实际载流量:,不能满足要求,需有爱更换。 注:穿越功率指作为中间变电站高压侧(电源侧)存在出线负荷,即经该变电站高 压母线向相同电压等级的其他变电站提供电源,则这个出线上的负荷就是穿越功率。 所谓穿越功率,是因为这部分负荷没有被变压器转移到低压侧,而是直接从高压侧穿 越走了。按持续工作电流计算选择主变高压母线时,母线容量选择不再是变压器容 量,而是通流容量,即通流容量=本站主变容量+穿越功率。题目明确了母线最大穿 越功率值,应理解为流通容量,因此不需再加本站的变压器负荷。补充一点,若该变 电站为终端变电站,一般不考虑穿越功率;若终端变电站规划有新建相同电压等级的 其他变电站时,且需经过该变电站高压母线获得电源,则在设计时,其高压母线时需 考虑穿越功率。

相关内容:变电所,120MVA,变压器,电压,户外,母线,规格,220k...

猜你喜欢

发表评论
更多 网友评论0 条评论)
暂无评论

访问排行

Copyright © 2012-2014 恰考网 Inc. 保留所有权利。 Powered by tikuer.com

页面耗时0.0462秒, 内存占用1.05 MB, Cache:redis,访问数据库19次