某220kV变电所,所址环境温度35℃,大气污秽III级,海拔1000m,所 内的220kV设备用普通敞开式电器,户外中型布置,220kV配电装置为双母线...

作者: tihaiku 人气: - 评论: 0
问题 某220kV变电所,所址环境温度35℃,大气污秽III级,海拔1000m,所 内的220kV设备用普通敞开式电器,户外中型布置,220kV配电装置为双母线,母线三 相短路电流25kA,其中一回接线如图,最大输送功率200MV
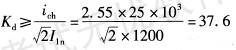
选项 A。 220kV变电所远离发电厂,220kV母线三相短路电流为25kA,220kV配电设备某一回路电流互感器的一次额定电流为1200A,请计算电流互感器的动稳定倍数应 大于: ( ) (A)53 (B)38 (C)21 (D)14.7
答案 D
解析 《导体和电器选择设计技术规定》第15.0.1条。电流互感器动稳定倍数: 注:其中短路冲击电流:

相关内容:变电所,所址,环境,温度,大气,污秽,海拔,内的,备用,电器,户外,装置,母线

猜你喜欢

发表评论
更多 网友评论0 条评论)
暂无评论

访问排行

Copyright © 2012-2014 恰考网 Inc. 保留所有权利。 Powered by tikuer.com

页面耗时0.0499秒, 内存占用1.05 MB, Cache:redis,访问数据库20次