某500kV架空送电线路双地线,具有代表性的铁塔为酒杯塔,塔的全高 为45m,导线为4分裂LGJ-500/45(直径d=30mm)钢芯铝绞线,采用28片X...

作者: tihaiku 人气: - 评论: 0
问题 某500kV架空送电线路双地线,具有代表性的铁塔为酒杯塔,塔的全高 为45m,导线为4分裂LGJ-500/45(直径d=30mm)钢芯铝绞线,采用28片XP-160 (H = 155mn)悬式绝缘子串,线间距离为12m,地钱为GJ-100型镀锌钢绞线(直径d = 15mm),地线对边相导线的保护角为10°,地线平均高度为30m。 为了使线路在平原地区的绕击率不大于0. 10%,请计算当杆塔高度为55m,地线对边相导线的保护角应控制在多少以内? ( ) (A)4.06。 (B)10.44。 ( C) 11.54。 ( D) 12.56。
选项
答案 B
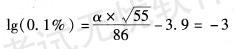
解析 《交流电气装置的过电压保护和绝缘配合》附录C式(C18)。 线路绕击率(对平原线路):

相关内容:架空,线路,地线,代表,铁塔,酒杯塔,全高,导线,4分裂,LGJ-500,直径,钢芯,绞线

猜你喜欢

发表评论
更多 网友评论0 条评论)
暂无评论

访问排行

Copyright © 2012-2014 恰考网 Inc. 保留所有权利。 Powered by tikuer.com

页面耗时0.0380秒, 内存占用1.05 MB, Cache:redis,访问数据库20次