某变电所中的高压母线选用铝镁合金管型母线,导体的工作温度是90T,短路电流为18kA,短路的等效持续时间0.5s,铝镁合金热稳定系数79,请校验热稳定的最...

作者: tihaiku 人气: - 评论: 0
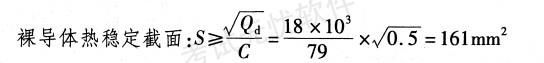
问题 某变电所中的高压母线选用铝镁合金管型母线,导体的工作温度是90T,短路电流为18kA,短路的等效持续时间0.5s,铝镁合金热稳定系数79,请校验热稳定的最小截面接近下列哪项数值? () (A)161mm2 (B)79mm2 (C)114mm2(D)228mm2
选项
答案 A
解析 依据:《导体和电器选择设计技术规定》(DL/T5222—2005)第9.2.5条。

相关内容:变电所,高压,母线,镁合金,管型,导体,工作,温度,短路,电流,系数,热稳

猜你喜欢

发表评论
更多 网友评论0 条评论)
暂无评论

访问排行

Copyright © 2012-2014 恰考网 Inc. 保留所有权利。 Powered by tikuer.com

页面耗时0.0337秒, 内存占用1.04 MB, Cache:redis,访问数据库16次