某220kV变电所的直流系统标称电压为220V,采用控制负荷和动力负荷合并供电的方式,拟采用GFD防酸式铅酸蓄电池,单体浮充电电压为2.2V,均衡充电电压...

作者: tihaiku 人气: - 评论: 0
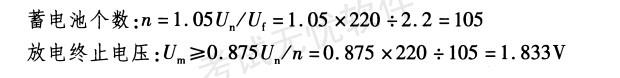
问题 某220kV变电所的直流系统标称电压为220V,采用控制负荷和动力负荷合并供电的方式,拟采用GFD防酸式铅酸蓄电池,单体浮充电电压为2.2V,均衡充电电压为2. 31V,下列数据是蓄电池个数和蓄电池放电终止电压的计算结果,请问哪一组数据是正确的? () (A)蓄电池100只,放电终止电压1.87V (B)蓄电池100只,放电终止电压1.925V (C)蓄电池105只,放电终止电压1.78V (D)蓄电池105只,放电终止电压1. 833V
选项
答案 D
解析 依据:《电力工程直流系统设计技术规程》(DL/T5044—2004)附录B。

相关内容:变电所,系统,电压,控制,负荷,动力,供电,方式,防酸,铅酸,蓄电池,单体

猜你喜欢

发表评论
更多 网友评论0 条评论)
暂无评论

访问排行

Copyright © 2012-2014 恰考网 Inc. 保留所有权利。 Powered by tikuer.com

页面耗时0.0445秒, 内存占用1.05 MB, Cache:redis,访问数据库18次