某架空送电线路上,若线路导线的自重比载为32.33x10 -3N/m.mm2,风荷比载为26.52X10 -3N/m.mm2,综合比载为41.82X10 ...

作者: tihaiku 人气: - 评论: 0
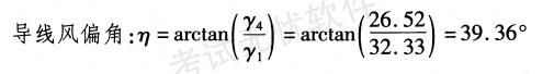
问题 某架空送电线路上,若线路导线的自重比载为32.33x10 -3N/m.mm2,风荷比载为26.52X10 -3N/m.mm2,综合比载为41.82X10 -3N/m.mm2,导线的风偏角为多少? () (A)20.23° (B)32.38° (C)35.72° (D)39.36°
选项
答案 D
解析 依据:《电力工程高压送电线路设计手册》(第二版)P106倒数第4行。

相关内容:架空,电线,路上,线路,导线,自重,比载,32.33x10,荷比,26.52X10,综合,41.82X10

猜你喜欢

发表评论
更多 网友评论0 条评论)
暂无评论

访问排行

Copyright © 2012-2014 恰考网 Inc. 保留所有权利。 Powered by tikuer.com

页面耗时0.0379秒, 内存占用1.04 MB, Cache:redis,访问数据库17次