有一独立光伏电站容量为3MW,需配置储能装置,若当地连续阴雨天气为15d,平均用电负荷为2000kW,储能电池放电深度为0. 8,电站交流系统损耗率为0....

作者: tihaiku 人气: - 评论: 0
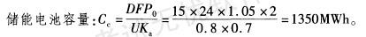
问题 有一独立光伏电站容量为3MW,需配置储能装置,若当地连续阴雨天气为15d,平均用电负荷为2000kW,储能电池放电深度为0. 8,电站交流系统损耗率为0.7,则储 能电池容量为: ( ) (A)56.25MWh (B)90MWh (C)1350MWh (D)2.025MWh
选项
答案 C
解析 依据:《光伏发电站设计规范》(GB 50797—2012)第6.5.2条。

相关内容:光伏,电站,容量,配置,储能,装置,当地,阴雨,天气,用电,负荷,2000kW,电池,放电,深度,交流,系统,损耗率

猜你喜欢

发表评论
更多 网友评论0 条评论)
暂无评论

访问排行

Copyright © 2012-2014 恰考网 Inc. 保留所有权利。 Powered by tikuer.com

页面耗时0.0448秒, 内存占用1.04 MB, Cache:redis,访问数据库16次