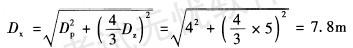
某单回采用猫头塔的220kV送电线路,若导线间水平投影距离4m,垂直投影距离5m,其等效水平线距为多少米?( ) (A)4.0m (B )5 .0m ...

作者: tihaiku 人气: - 评论: 0
问题 某单回采用猫头塔的220kV送电线路,若导线间水平投影距离4m,垂直投影距离5m,其等效水平线距为多少米?( ) (A)4.0m (B )5 .0m (C)7.8m (D)9.0m
选项
答案 C
解析 依据:《110kV ~750kV架空输电线路设计规范》(GB 50545—2010)第8.0.1-3条。

相关内容:某单回,猫头塔,线路,导线,水平,投影,距离,水平线

猜你喜欢

发表评论
更多 网友评论0 条评论)
暂无评论

访问排行

Copyright © 2012-2014 恰考网 Inc. 保留所有权利。 Powered by tikuer.com

页面耗时0.0301秒, 内存占用1.04 MB, Cache:redis,访问数据库17次