某电厂厂用电源由发电机出口经电抗器引接,若电抗器的电抗(标幺值)为0.3,失压成组自起动容量(标么值)为1,则其失压成组自起动时的厂用母线电压应为下列 哪...

作者: tihaiku 人气: - 评论: 0
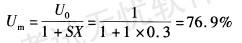
问题 某电厂厂用电源由发电机出口经电抗器引接,若电抗器的电抗(标幺值)为0.3,失压成组自起动容量(标么值)为1,则其失压成组自起动时的厂用母线电压应为下列 哪项数值? ( ) (A)70% (B)81% (C)77% (D)85%
选项
答案 C
解析 依据:《火力发电厂厂用电设计技术规定》(DiyT 5153—2002)附录K式(K1)。

相关内容:电厂厂,用电,发电机,出口,电抗器,电抗,标幺,失压,起动,容量,标么,其失,母线,电压

猜你喜欢

发表评论
更多 网友评论0 条评论)
暂无评论

访问排行

Copyright © 2012-2014 恰考网 Inc. 保留所有权利。 Powered by tikuer.com

页面耗时0.0372秒, 内存占用1.04 MB, Cache:redis,访问数据库18次