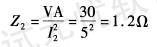
某回路测量用的电流互感器二次额定电流为5A,其额定容量是30VA,二次负载阻抗最大不超过下列何值时,才能保证电流互感器的准确等级? ( ) (A)1Ω ...

作者: tihaiku 人气: - 评论: 0
问题 某回路测量用的电流互感器二次额定电流为5A,其额定容量是30VA,二次负载阻抗最大不超过下列何值时,才能保证电流互感器的准确等级? ( ) (A)1Ω (B)1.1Ω (c)1.2 Ω (D)1.3Ω
选项
答案 C
解析 依据:《电力工程电气设计手册》(电气二次部分)P66式(20-4)。

相关内容:回路,测量,电流互感器,电流,容量,负载,阻抗,何值时,才能,等级

猜你喜欢

发表评论
更多 网友评论0 条评论)
暂无评论

访问排行

Copyright © 2012-2014 恰考网 Inc. 保留所有权利。 Powered by tikuer.com

页面耗时0.0316秒, 内存占用1.05 MB, Cache:redis,访问数据库18次