110k V 、6k V 和35k V 系统的最高工作电压分别为1261 k V、7 . 2 1 k V、40.51 k V,其工频过电压水平一般不超过下...

作者: tihaiku 人气: - 评论: 0
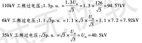
问题 110k V 、6k V 和35k V 系统的最高工作电压分别为1261 k V、7 . 2 1 k V、40.51 k V,其工频过电压水平一般不超过下列哪组数值?( ) (
选项 A ) 126k V 、7.2k V 、40.5k V ( B )95k V 、7.92k V 、40.5k V ( C ) 164k V 、7.92k V 、40.5k V ( D )95k V 、4.6k V 、23.38k V
答案 B
解析 依据:《交流电气装置的过电压保护和绝缘配合》(DL/T 620—1997)第3.2.2-a)条和 第 4.1.1-b)条。

相关内容:系统,工作,电压,其工,过电压,水平

猜你喜欢

发表评论
更多 网友评论0 条评论)
暂无评论

访问排行

Copyright © 2012-2014 恰考网 Inc. 保留所有权利。 Powered by tikuer.com

页面耗时0.0425秒, 内存占用1.04 MB, Cache:redis,访问数据库19次