变电所中,一台额定电流630A的10kV真空断路器,可用于下列哪几种10kV三相电容器组? ( ) (A)10000kvar (B)8000kvar ...

作者: tihaiku 人气: - 评论: 0
问题 变电所中,一台额定电流630A的10kV真空断路器,可用于下列哪几种10kV三相电容器组? ( ) (A)10000kvar (B)8000kvar (C)5000kvar (D)3000kvar
选项
答案 BCD
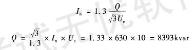
解析 依据:《并联电容器装置设计规范》(GB 50227—2008)第5.1.3条。

相关内容:变电所,电流,真空,断路器,电容器,10000kvar,8000kvar

猜你喜欢

发表评论
更多 网友评论0 条评论)
暂无评论

访问排行

Copyright © 2012-2014 恰考网 Inc. 保留所有权利。 Powered by tikuer.com

页面耗时0.0379秒, 内存占用1.04 MB, Cache:redis,访问数据库19次