发电厂中,有一台50/25 -25MVA的无励磁调压高压厂用变压器,低压侧电压 为6kV,变压器半穿越电抗Ud= 16. 5%,接有一台6500kW的6k...

作者: tihaiku 人气: - 评论: 0
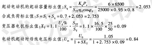
问题 发电厂中,有一台50/25 -25MVA的无励磁调压高压厂用变压器,低压侧电压 为6kV,变压器半穿越电抗Ud= 16. 5%,接有一台6500kW的6kV电动机,电动机起动前6kV母线已带负荷0.7(标幺值),请计算电动机正常起动时6kV母线电压标幺值应为下列哪项数值?(设Kd=6,ηd =0.95,cosψd =0.8)( ) (A)0.79 (B)0.82 (C)0.84 (D)0.85
选项
答案 C
解析 依据:《火电发电厂厂用电设计技术规定》(DL/T 5153—2002)附录J。

相关内容:发电厂,-25MVA,励磁,调压,高压厂,变压器,低压,电压,电抗,6500kW

猜你喜欢

发表评论
更多 网友评论0 条评论)
暂无评论

访问排行

Copyright © 2012-2014 恰考网 Inc. 保留所有权利。 Powered by tikuer.com

页面耗时0.0405秒, 内存占用1.03 MB, Cache:redis,访问数据库14次