某220kV变电站内设有两台主变压器,变压器铁芯为冷乳硅钢片,过电压一般不超过下列哪个数值时,可不采取保护措施? () (A)411.5kV (B)2...

作者: tihaiku 人气: - 评论: 0
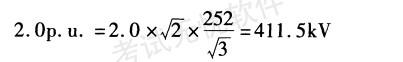
问题 某220kV变电站内设有两台主变压器,变压器铁芯为冷乳硅钢片,过电压一般不超过下列哪个数值时,可不采取保护措施? () (A)411.5kV (B)291.0kV (C)617.3kV (D)436.5kV
选项
答案 A
解析 依据:《交流电气装置的过电压保护和绝缘配合》(DL/T620—1997)第4.2.6-a)条及第3.2.2条。

相关内容:变电站,变压器,铁芯,冷乳,硅钢片,过电压,数值,保护,措施,411.5kV

猜你喜欢

发表评论
更多 网友评论0 条评论)
暂无评论

访问排行

Copyright © 2012-2014 恰考网 Inc. 保留所有权利。 Powered by tikuer.com

页面耗时0.0624秒, 内存占用1.05 MB, Cache:redis,访问数据库20次