某变电所中,110kV线路变压器组的主变压器是110/35/10kV、31.5MVA。主变压器110kV侧最大三相短路电流5kA、最小两相短路电流3kA,...

作者: tihaiku 人气: - 评论: 0
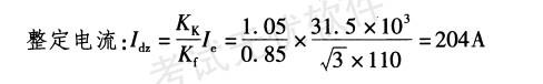
问题 某变电所中,110kV线路变压器组的主变压器是110/35/10kV、31.5MVA。主变压器110kV侧最大三相短路电流5kA、最小两相短路电流3kA,主变压器110kV侧安装了过负荷保护。过负荷保护的一次整定电流为:(可靠系数取1.05,返回系数取0.85) (A)6176A (B)3705A (C)204
选项 A (D)165A
答案 C
解析 依据:《电力工程电气设计手册》(电气二次部分)P639式(29-130)。

相关内容:变电所,线路,变压器,31.5MVA,短路,电流

猜你喜欢

发表评论
更多 网友评论0 条评论)
暂无评论

访问排行

Copyright © 2012-2014 恰考网 Inc. 保留所有权利。 Powered by tikuer.com

页面耗时0.0638秒, 内存占用1.05 MB, Cache:redis,访问数据库19次