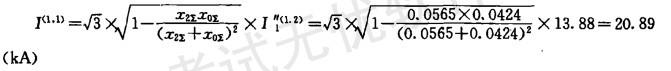
已知某系统如图5-10所示,图中正序电抗:x1Σ=0.055,负序电抗x2Σ=0.0565,零序电抗:x0Σ=0.0424,Sj=1OOOMVA。 ...

作者: tihaiku 人气: - 评论: 0
问题 已知某系统如图5-10所示,图中正序电抗:x1Σ=0.055,负序电抗x2Σ=0.0565,零序电抗:x0Σ=0.0424,Sj=1OOOMVA。 两相接地短路电流为(). A.20.89kA; B.21.89kA; C.22.89kA; D.23.89k
选项 A。
答案 A
解析 两相接地短路电流

相关内容:系统,如图,5-10所示,电抗,负序,0.0565,零序,0.0424,1OOOMVA

猜你喜欢

发表评论
更多 网友评论0 条评论)
暂无评论

访问排行

Copyright © 2012-2014 恰考网 Inc. 保留所有权利。 Powered by tikuer.com

页面耗时0.0427秒, 内存占用1.04 MB, Cache:redis,访问数据库19次