某550kV、750MVA自耦变压器,其空载电流为0.2%,对地电容为5000ρF,转化系数η为0.45。 该变压器的自由振荡频率为()。A.78.8...

作者: tihaiku 人气: - 评论: 0
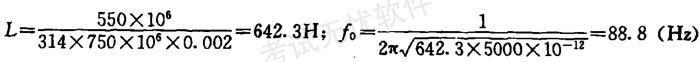
问题 某550kV、750MVA自耦变压器,其空载电流为0.2%,对地电容为5000ρF,转化系数η为0.45。 该变压器的自由振荡频率为()。
选项 A.78.8Hz; B.88.8Hz; C.98.SHz; D.108.8Hz。
答案 B
解析

相关内容:750MVA,自耦,变压器,电流,电容,系数,振荡,频率,A.78.8...

猜你喜欢

发表评论
更多 网友评论0 条评论)
暂无评论

访问排行

Copyright © 2012-2014 恰考网 Inc. 保留所有权利。 Powered by tikuer.com

页面耗时0.1026秒, 内存占用1.04 MB, Cache:redis,访问数据库17次