某500kV超高压架空线路长度为400km,正序波阻抗为260Ω,零序波阻抗为500Ω,正序电源感抗为1OOΩ,零序电源感抗为500,正序波速为3X105...

作者: tihaiku 人气: - 评论: 0
问题 某500kV超高压架空线路长度为400km,正序波阻抗为260Ω,零序波阻抗为500Ω,正序电源感抗为1OOΩ,零序电源感抗为500,正序波速为3X105km/s,零序波速为2X105km/s。空载线路末端A相接地。 单相接地系数为()。
选项 A.1.09; B.1.10; C.1.11; D.1.12。
答案 C
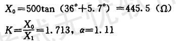
解析

相关内容:超高压,架空,线路,长度,正序,阻抗,零序,电源,感抗,波速,3X105...

猜你喜欢

发表评论
更多 网友评论0 条评论)
暂无评论

访问排行

Copyright © 2012-2014 恰考网 Inc. 保留所有权利。 Powered by tikuer.com

页面耗时0.0568秒, 内存占用1.05 MB, Cache:redis,访问数据库20次