高电阻接地系统中发电厂、变电站电气装置保护接地的接地电阻计算,假定计算用接地故障电流分别为32A和45A,请计算高压电气装置的接地电阻R。 当接地故障...

作者: tihaiku 人气: - 评论: 0
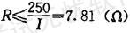
问题 高电阻接地系统中发电厂、变电站电气装置保护接地的接地电阻计算,假定计算用接地故障电流分别为32A和45A,请计算高压电气装置的接地电阻R。 当接地故障电流为32A时,接地电阻R应为()。
选项 A.R≤5.68Ω; B.R≤6.25Ω; C.R≤7.81Ω; D.R≤8.50Ω。
答案 C
解析 根据DL/1621—1997P4第5.1.1条b) 2)款计算公式计算如下

相关内容:高电阻,电阻,接地,系统,发电厂,变电站,电气,装置,保护,假定,故障,电流,高压

猜你喜欢

发表评论
更多 网友评论0 条评论)
暂无评论

访问排行

Copyright © 2012-2014 恰考网 Inc. 保留所有权利。 Powered by tikuer.com

页面耗时0.0472秒, 内存占用1.05 MB, Cache:redis,访问数据库20次