现已知某变电站接地网的均压带为不等间距布置,地网导体等效直径d=0.03m;沿长宽方向布置的均压带根数n1=15,n2=6;接地网的长度和宽度L1=323...

作者: tihaiku 人气: - 评论: 0
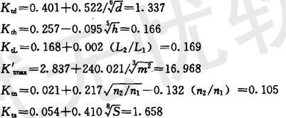
问题 现已知某变电站接地网的均压带为不等间距布置,地网导体等效直径d=0.03m;沿长宽方向布置的均压带根数n1=15,n2=6;接地网的长度和宽度L1=323.5m,L2=170m;水平均压带埋设深度h=0.8m;地网的网孔数m=(n1—1)(n2-1)=14X5=70。请计算各有关相关系数和最大跨步电位差系数。 相关系数Ktd, Kth,KtL,K'max和Kts分别为(选择一组最接近的计算值)()。
选项 A. 2.301、0.673、0.202、0.015、10.027和1.068; B. 3.340、0.368、0.316、0.026、12.036和2.071; C. 2.375、0.741、0.335、0.112、15.0713和1.146, D. 1.337、0.166、0.169、16.968、0.105和1.658。
答案 D
解析 根据DL/T 621—1997P18附录B中的B2,c)2),根据计算公式计算如下

相关内容:变电站,地网,压带,间距,导体,直径,方向,压带根,长度,宽度,323...

猜你喜欢

发表评论
更多 网友评论0 条评论)
暂无评论

访问排行

Copyright © 2012-2014 恰考网 Inc. 保留所有权利。 Powered by tikuer.com

页面耗时0.0747秒, 内存占用1.04 MB, Cache:redis,访问数据库17次